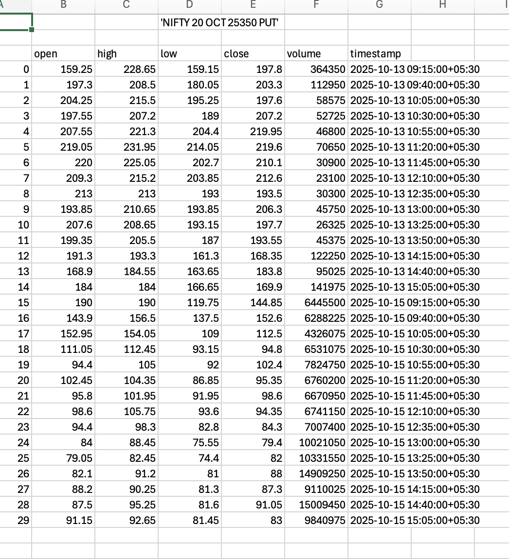
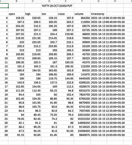
Hi @Tradehull_Imran I found an issue while fetching the 25-minute timeframe historical data. Please refer to the screenshots — it’s clearly visible that today, on 15-Oct-2025, the data shows 13-Oct-2025 and 15-Oct-2025, but the previous day’s data (14-Oct-2025) is missing.
this is the issue for 14-Oct across all timeframes (OHLC), you can get OHLC data for all days this month till date except for 14-Oct . Not sure how/why that is happening
1 Like
Yes I too observed the same. This resulted me in my system taking a wrong trade. Please, Dhan - we rely on your API data and its at the core of our Algo systems.
Hey @nishant.k.verma ,
Thanks for bringing this up @Tradehull_Imran may be able to assist here.
It’s the same recurring issue again today. Unable to fetch the previous day’s candles. Please fix this at the earliest.
Hi @nishant.k.verma , @cyberpunk_danny , @S_F ,
The data originates from the Dhan API, so we don’t have control over it. However, we’re currently looking into the issue.
